当前位置:
首页
>
合约细则
>
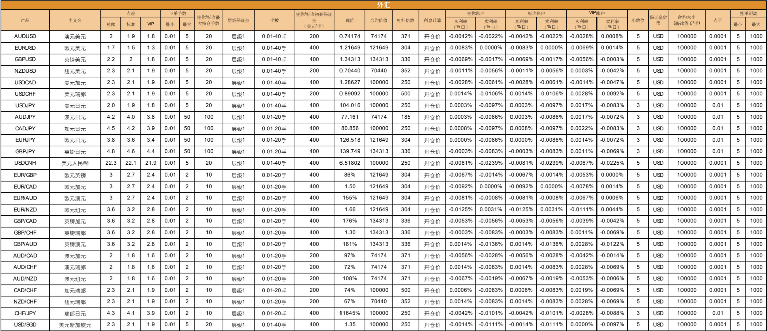
外汇
分类
商品
指数
股票
外汇
数字货币
外汇
×